Глобальный производитель PCBA с большим ассортиментом и высокой скоростью
9:00–18:00, пн.–пт. (GMT+8)
9:00–12:00, сб. (GMT+8)
(Кроме китайских праздников)
Главная > Блог > Knowledge Base > What Is A Potentiometer? How Does It Work?
If you want to learn about a potentiometer in all its aspects, in addition to knowing what a potentiometer is, you also need to understand the types of potentiometers, its working principle, and the difference between a potentiometer vs rheostat.
A potentiometer is a common component in electronic devices, widely used in various circuit control systems. Understanding what a potentiometer is used for is essential when designing electronics.
In this article, let’s discuss in detail what is a potentiometer, its working principle and application, and its difference from a rheostat.
First, what is a potentiometer? A potentiometer is a common electronic component, often called a "pot", used to precisely control voltage or current in a circuit. Understanding what a potentiometer is used for helps us recognize its role in various devices.
The core part of a potentiometer is a variable resistor, which is usually equipped with three terminals: two fixed terminals and an adjustable sliding terminal (also called a wiper). By rotating the control shaft of the potentiometer, people can adjust the position of the wiper between the two fixed terminals, thus flexibly changing the resistance value. This design makes the potentiometer ideal for use in situations requiring precise adjustment.
In a circuit diagram, the potentiometer’s symbol r is usually represented as a resistor with an arrow. The potentiometer symbol consists of two parts: a rectangular or jagged line representing a fixed resistance element, and a diagonal arrow that intersects the resistance element. The two terminals of the resistance element are connected with two fixed terminals, representing the poles of the potentiometer, and the arrow points to a certain position of the resistance element, indicating the sliding contact of the potentiometer.
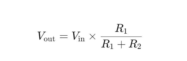
The operation of a potentiometer can be described using the voltage divider formula. When the total resistance of the potentiometer is R, the wiper divides this resistance into two parts: R ₁ and R ₂ . These two resistances add up to the total resistance, so R ₁ + R ₂=R. The input voltage Vin is applied across the two ends of the potentiometer, and the position of the wiper determines the values of R ₁ and R ₂, which, in turn, affects the output voltage Vout.
The output voltage at the wiper, Vout , can be calculated using the following voltage divider formula:
This potentiometer formula can help us calculate the potential difference at any given point along the resistive element.
With the development of technology, electronic devices have higher and higher requirements for components. Therefore, people have designed various types of potentiometers according to different needs.
The following are several common potentiometer types: rotary potentiometer, linear potentiometer and digital potentiometer.
|
Type of Potentiometer |
Rotary Potentiometer |
Linear Potentiometer |
Digital Potentiometer |
| Images |
|
|
|
|
Adjustment Method |
Adjusts resistance by rotating a shaft, typically between 270° to 300°, some can rotate 360° or multi-turn for precise adjustments. |
Adjusts resistance by sliding the wiper along a straight path, changing the resistance proportionally along the resistive element. |
Adjusts resistance through digital signals (via protocols like SPI or I²C) using a microcontroller or digital circuit. |
|
Structure |
Three terminals: two fixed terminals connected to the ends of the resistive element, and a wiper that rotates along the element. |
Three terminals: two fixed terminals connected to the ends of the resistive element, and a sliding wiper that moves along a linear path. |
An internal resistive network with electronically controlled switches. No moving parts, controlled digitally. |
|
Applications |
Commonly used in volume controls, brightness adjustments, and frequency tuning. |
Used in audio mixing consoles, electronic instruments, and lighting controls for smooth linear adjustments. |
Used in applications requiring automated control such as audio adjustment, automatic gain control, and remote-controlled systems. |
|
Advantages |
Simple manual adjustment, easy to use for general applications. |
Smooth, linear adjustment; intuitive for manual control in devices requiring linear changes. |
No mechanical wear, highly precise, programmable, and easy integration with digital systems. |
|
Disadvantages |
Mechanical wear can occur over time with repeated use. |
Limited travel distance and potential wear from frequent use. |
Limited resolution, requires external power and control signals, more complex to integrate. |
How does a potentiometer work? It’s very easy. It adjusts the output voltage or resistance value by changing the position of the sliding contact on the resistance element.
When the slide moves along the resistance element, the potentiometer changes the resistance of the two parts of the circuit, thus changing the output voltage. By adjusting the position of the slide, the resistance ratio of the two parts can be adjusted, which directly affects the output voltage.
As we can see from the potentiometer diagram above, the movement of the slide splits the total resistance into two parts, enabling it to function as a voltage divider or variable resistor.
For example, in the volume control knob, rotating the potentiometer can adjust the resistance to change the volume. In a tuning circuit, a potentiometer adjusts the tuning frequency of a radio receiver by changing the voltage in certain sections.
Learning how to wire a potentiometer is an important step in the proper use of a potentiometer in a circuit. By referring to the detailed steps and explanations below, you can easily master potentiometer wiring.
Step 1: Identify the Terminals
A potentiometer has three metal terminals, which are in different positions and functions.
• Terminal 1:
This is the first fixed terminal, connected to one end of the resistive track.
Regardless of how you turn the knob, the resistance value between Terminal 1 and the opposite end of the track remains constant.
• Terminal 2 (Wiper):
This is the wiper, the core part of the potentiometer.
When you rotate the potentiometer’s knob, the wiper moves along the resistive track, changing the resistance value.
This terminal is typically used for output voltage or current control.
• Terminal 3:
This is the second fixed terminal, located at the other end of the resistive track.
Like Terminal 1, the resistance value between Terminal 3 and the opposite end of the track remains constant.
Step 2: Choosing the Correct Wiring Method
The wiring method depends on the application of the potentiometer. Here are two common wiring methods:
1. Voltage Control Wiring
This method is used for adjusting output voltage, commonly found in volume controls, light dimmers, etc. Follow these steps:
• Connect Terminal 1 and Terminal 3 to the positive and negative terminals of the power supply (or to the power source and ground).
• Connect Terminal 2 (the wiper) as the output. The output voltage will vary as you turn the knob.
• When the knob is turned fully to one side, the output voltage will be close to the power supply voltage. When turned to the opposite side, the output voltage will approach zero.
2. Variable Resistance Wiring
This method is used to control the flow of current, such as adjusting fan speed or dimming lights. Follow these steps:
• Connect Terminal 2 (the wiper) to one end of your circuit.
• Connect either Terminal 1 or Terminal 3 to the other end of the circuit.
• As you turn the knob, the resistance value will change, controlling the current flow accordingly.
Step 3: Testing the Wiring for Accuracy
Before integrating the potentiometer into your circuit, be sure to verify the wiring using a multimeter:
1. Check the Fixed Terminals' Resistance: Use a multimeter to measure the resistance between Terminal 1 and Terminal 3. This value should match the potentiometer’s maximum rated resistance (e.g., 10kΩ).
2. Test the Wiper's Changing Resistance: Measure the resistance between Terminal 2 and Terminal 1 (or Terminal 3). As you rotate the knob, this resistance should vary between 0Ω and the maximum resistance value.
Step 4: Refer to a Potentiometer Diagram
For clearer understanding, referring to a clear potentiometer diagram can greatly improve your wiring accuracy. The diagram will label each terminal and show the correct connection method.
By following these detailed steps, you can easily learn how to wire a potentiometer correctly, ensuring your circuit functions properly and achieves the desired adjustment results.
From the above, we learned that the potentiometer has three terminals and can also be used as a voltage divider. Unlike a potentiometer, a rheostat is a two-end device that adjusts the current in the circuit by changing the resistance value.
A potentiometer and a rheostat are mainly different in use. The potentiometer is mainly used to control voltage, while the rheostat is used to control current.
At the same time, the potentiometer can also be used as a variable voltage divider, and the rheostat can be used as a resistor to adjust the current flow.
Structurally, the slide of a potentiometer divides the resistance element into two parts, while in a rheostat, the slide controls the circuit only by adjusting the total resistance.
All in all, a potentiometer is a crucial component in electronic circuits. It offers precise control over voltage by adjusting resistance. Its basic working principle, potentiometer symbol, and formula show us how it can divide voltage or act as a variable resistor.
With various types of potentiometers available, potentiometers are widely used in applications such as audio control, light dimming, and tuning circuits. When comparing potentiometers vs rheostats, the primary difference is that potentiometers control voltage, while rheostats control current. Understanding these differences is essential for selecting the right component for your circuit.
Understanding what a potentiometer is, what a potentiometer does, how a potentiometer works, and the differences between potentiometer vs rheostat is essential for selecting the right component for your potentiometer circuit.
Запрос на PCBA
Мгновенный расчёт




